Laatuseloste: asuntojen hinnat, neljännesvuositilasto
1. Tilastotietojen relevanssi
1.1. Tietosisältö ja käyttötarkoitus
Asuntojen hintojen neljännesvuositilasto kuvaa vanhojen osakehuoneistojen velattomia neliöhintoja ja niiden muutoksia neljännesvuosi- ja vuositasolla. Tilasto sisältää alueen, osa-alueen, talotyypin ja huoneluvun mukaan luokiteltuja tietoja tarkasteluneljännekseltä sekä pidemmältä aikaväliltä.
Tilaston tarkoituksena on tarjota tietoa asuntomarkkinoiden kehityksestä kaikille asuntomarkkinoita seuraaville tahoille.
1.2. Tilaston käsitteet, luokitukset ja aineistot
Aineistot ja tiedonantajat:
Asuntojen hintatilaston tietojen perustana ovat Verohallituksen varainsiirtoverolaskelmia varten keräämät hintatiedot. Lisäksi tilastossa käytetään Verohallituksen kiinteistörekisteriä sekä Väestörekisterikeskuksen rakennus- ja huoneistorekisteriin perustuvaa Tilastokeskuksen asuntokanta-aineistoa.
Käsitteet:
Asunto: Asunnolla eli asuinhuoneistolla tarkoitetaan keittiöllä, keittokomerolla tai keittotilalla varustettua yhden asuinhuoneen tai useampia asuinhuoneita käsittävää, ympärivuotiseen asumiseen tarkoitettua kokonaisuutta.
Asunnon neliöhinta: Tilastossa käytetään velatonta hintaa, eli velkaosuus sisältyy hintaan. Julkaistava hintakäsite on neliöhinta (€/m2).
Asunnon pinta-ala: Asunnon pinta-ala (m2) lasketaan sitä rajoittavien seinien sisäpinnoista. Asunnon pinta-alaan lasketaan myös aputilojen (kodinhoitotilan, vaatehuoneen tms.), kylpyhuoneen, askarteluhuoneen, takkahuoneen, huoneistokohtaisen saunan, pesu- ja pukuhuoneen pinta-ala sekä työtiloina käytetyt huoneet, jos niissä ei työskentele palkattuja työntekijöitä. Asunnon pinta-alaan ei lasketa mukaan autotallia, kellaria, kalustamattomassa pohjakerroksessa olevaa saunatilaa, kylmää varastotilaa, parveketta, kuistia, vilpolaa, tuulikaappia eikä ullakon muita kuin asuintiloja.
Vanha/uusi asunto: Tilastoon sisältyvät ainoastaan vanhat asunnot. Vanhalla asunnolla tarkoitetaan asuntoa, jota ei ole valmistettu tarkasteluvuonna tai sitä edeltävänä vuonna.
Talotyyppi: Tilaston tiedot luokitellaan talotyypin mukaan kerrostaloihin ja rivitaloihin. Rivitalotietoihin sisältyvät osakeasuntomuotoiset pientalot.
Huoneluku: Huone on ikkunallinen tila, jonka lattiapinta-ala on vähintään 7 m2 ja keskikorkeus vähintään 2 metriä. Eteistä, vilpolaa, makuualkovia tai muuta vastaavaa ei katsota huoneeksi. Huonelukuun ei sisälly keittiötä. Huonelukuluokkaan 3+ kuuluvat asunnot, joissa on vähintään kolme huonetta.
(Nimellis)hintaindeksi: Kertoo hintojen muutoksen kyseisen indeksin perusajankohtaan (2000, 1983 tai 1970) verrattuna.
Reaalihintaindeksi: Kertoo reaalisen hintojen muutoksen indeksin perusajankohtaan (2000, 1983 tai 1970) verrattuna. Reaalihintaindeksi saadaan jakamalla nimellishintaindeksin pisteluku vastaavan ajankohdan ja vastaavan perusvuoden kuluttajahintaindeksin pisteluvulla.
Jakaumatunnusluvut:
Q1 (alakvartiili) = 25 % neliöhinnoista ovat pienempiä tai yhtä suuria kuin alakvartiili.
Med (mediaani) = Keskimmäinen neliöhinta, kun neliöhinnat on järjestetty suuruusjärjestykseen.
Q3 (yläkvartiili) = 75 % neliöhinnoista ovat pienempiä tai yhtä suuria kuin yläkvartiili.
Luokitukset:
Aluejako: Tilastossa käytetään erilaisia yhdistelmäalueita kuten pääkaupunkiseutu, kehyskunnat, maakunnat ja kaupunkien osa-alueet. Pääkaupunkiseutuun kuuluvat Helsinki, Espoo, Vantaa ja Kauniainen, joka kuuluu tilastoissa Espooseen. Kehyskunnat käsittävät Hyvinkään, Järvenpään, Keravan, Kirkkonummen, Nurmijärven, Riihimäen, Sipoon, Tuusulan ja Vihdin. Maakuntaluokitus on valtioneuvoston päätöksen (26.2.1998) mukainen. Kaupunkien osa-alueluokitukset perustuvat hintatason ja sijainnin mukaiseen postinumeroalueluokitteluun. Tarkka aluejakoluokitus löytyy julkaisun liitteestä sekä Tilastokeskuksen internetsivuilta.
2. Tilastotutkimuksen menetelmäkuvaus
Asuntojen hinnat 2000=100 indeksin laskentamenetelmä yhdistää klassisen aineiston luokitukseen perustuvan menetelmän ja regressio-analyysin (ns. hedoninen menetelmä). Hintaindeksillä pyritään toteutuneiden kauppahintojen perusteella vastaamaan mahdollisimman hyvin kysymykseen, paljonko enemmän/vähemmän tyypillinen osakehuoneisto maksaa nyt kuin aikaisemmin. Tässä kysymyksen asettelussa keskihintojen muutosten seuranta ei ole välttämättä tyydyttävä ratkaisu, koska keskihinnat muuttuvat myös sen vuoksi, että eri ajankohtina myytyjen asuntojen koostumus ei ole sama. Esimerkiksi eri huoneistotyyppien osuus voi vaihdella neljänneksestä toiseen.
Menetelmällä pyritään entistä paremmin erottamaan aito hintakehitys asuntojen ominaisuuksista johtuvista hinnanmuutoksista eri ajankohtina.
Koska sijainti, talotyyppi ja huonelukumäärä ovat tärkeimmät asunnon hintaan vaikuttavat tekijät, myytyjen asuntojen koostumusta vakioidaan ensin näiden suhteen luokittelemalla. Alueluokitus on muodostettu niin, että se olisi toisaalta maantieteellisesti mielekäs ja toisaalta asuntojen hintatason kannalta mahdollisimman homogeeninen. Suurimmat kaupungit on jaettu useampaan osa-alueeseen. Toisaalta pienimmät kunnat, joissa tehdään vain vähän osakehuoneistokauppoja on yhdistetty. Alueen sisällä osakehuoneistot on jaettu talotyypin mukaan kahteen luokkaan: kerrostaloasunnot sekä rivi- ja pientalot. Kerrostalot on edelleen ryhmitelty huoneluvun mukaan yksiöiksi, kaksioiksi ja vähintään kolmen huoneen asunnoiksi. Rivitalot on jaettu huoneluvun mukaan kahteen luokkaan - alle 3 huonetta ja vähintään 3 huonetta.
Käytetty luokitus ei välttämättä homogenisoi aineistoa riittävästi, koska esimerkiksi luokan sisällä huoneistot eroavat mm. mikrosijainnin, pinta-alan, valmistumisvuoden yms. suhteen. Käytettävässä aineistossa on tietoa asunnon sijainnista postinumeroaluetasolla, iästä ja pinta-alasta. Regressiomallin avulla näillä tiedoilla voidaan korjata vertailuperiodin luokkakeskihinta niin, että tämä ns. laatukorjattu keskihinta ottaa huomioon luokan sisäisiä aineiston koostumuksen muutoksia perus- ja vertailuperiodilla relevanttien muuttujien suhteen. Määritellään seuraava regressiomalli:

Mallin notaatio on standardi. Ln(pij) on alueen j asunnon i logaritminen neliöhinta asuinpinta-alaneliötä kohti. Muuttujat Al ovat mikro-alueindikaattoreita (postinumeroalueita suurten kaupunkien osalta ja kuntaindikaattoreita yhdistelmäalueilla). Huone-nimiset muuttujat ovat huonelukuindikaattoreita, RT on indikaattori rivitaloasunnoille ja (RT)*(huone3) on interaktiotermi rivitaloille, joissa on vähintään 3 huonetta.
Mallit on estimoitu pienimmän neliösumman menetelmällä (OLS) eri alueille, eikä luokittain, koska jälkimmäinen vaihtoehto ei ollut vapausasteongelmien vuoksi mahdollinen. Funktiomuoto on standardi puolilogaritminen funktio ja mallissa on asuinpinta-alan sekä valmistumisvuoden neliöjuuret, koska oletettavasti valmistumisvuoden ja pinta-alan vaikutus hintaan on epälineaarinen. Huoneluokka -indikaattorit ovat tietenkin korreloituneita pinta-alan kanssa, mutta niitä on pidetty mukana teknisistä syistä. Ne varmistavat yhdessä RT-indikaattorin ja (RT)*(huone3) -interaktiotermin kanssa, että jäännöstermien summa jokaisessa indeksilaskentaluokassa on perusperiodilla (vuosi 2000) nolla.
Merkitään mallin parametrien, b0,
b1, ..., bLj,
g1, g2,
d1, d2,
n1, n2,
n3, h1,
h2, estimaatteja indeksiluokassa i
vektorilla
sekä ominaisuuksien (valmistumisvuosi, koko,
postinumeroalueindikaattori) keskiarvoja perus- ja vastaavasti
vertailuajankohdalla vektoreilla
ja
. Tällöin kunkin
indeksiluokan i sisällä laatukorjaus koon, valmistumisvuoden ja
postinumeroaluetason sijainnin mukaan voidaan esittää muodossa
. Laatukorjaus
toimii seuraavasti: Jos esimerkiksi tilastointineljänneksellä
luokassa i asunnot ovat keskimäärin vanhempia kuin
perusajankohdalla, indeksiä täytyy korjata ylöspäin, koska muuten
asuntojen korkeammasta iästä johtuva matalampi hinta tulkittaisiin
väärin hintojenlaskuna. Korjauksen suuruus määräytyy
regressiomallien valmistumisvuosikertoimista sekä perus- ja
vertailuajankohdan myytyjen asuntojen keskimääräisen
valmistumisvuoden erosta.
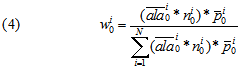
Koko maan indeksin pisteluku saadaan aggregoimalla indeksiluokkakohtaiset hinnan muutokset ja laatukorjaukset ns. log-Laspeyres indeksikaavalla:

Kaavassa (2) N on indeksiluokkien lukumäärä,
on luokan i geometrisen
keskihinnan muutos ja
on luokan paino.
Geometriset keskihinnat lasketaan yksittäisten havaintojen
neliöhinnoista kaavalla:

Painot ovat vuoden 2000 vanhan osakehuoneistokannan arvo-osuuksia:

Tässä
on
asuntojen keskimääräinen pinta-ala luokassa i vuonna 2000,
on asuntojen
lukumäärä luokassa ja
on luokan keskihinta
vuonna 2000.
3. Tietojen oikeellisuus ja tarkkuus
3.1. Tilaston luotettavuus
Tilasto perustuu Verohallituksen varainsiirtoveroaineistoon, joka sisältää kaikkien osakeasuntomuotoisten asuntojen kaupat. Kaikki neljänneksellä tehdyt vanhat osakehuoneistokaupat eivät tule tilastoon, sillä ostajalla on kaksi kuukautta aikaa maksaa varainsiirtovero. Monet henkilöt kuitenkin maksavat varainsiirtoveron nopeammin ja kiinteistönvälittäjien välittämissä kaupoissa vero maksetaan kaupantekohetkellä.
Tilaston ilmestyessä siinä on mukana tuoreimman tilastoneljänneksen osalta noin 2/3 kaikista kaupoista. Loput tiedoista Tilastokeskus saa myöhemmin sitä mukaa, kuin ne kertyvät Verohallituksessa. Neljännesvuositietoja päivitetään takautuvasti siten, että vuoden lopulliset tiedot julkaistaan seuraavan vuoden ensimmäisen vuosineljänneksen julkaisussa.
3.2. Tilaston tarkkuus
Asuntojen hintaindeksille on estimoitu 95 %:n luottamusvälit ns. bootstrap -menetelmällä. Koko maan tasolla indeksin muutosprosentin luottamusväli on ± 0,7 %, pääkaupunkiseudulla ± 1,4 % ja muualla maassa ± 0,8.
3.3. Tilaston tunnuslukujen käyttäminen
Koska hintaindeksissä on otettu huomioon eri ajankohtien myytyjen asuntojen valmistumisvuoden, pinta-alan ja tarkemmin määritellyn asuntojen sijainnin jakaumassa tapahtuneet muutokset ja niiden hintavaikutus, tilaston keskihinnat muuttuvat eri tavoin kuin hintaindeksi. Näin on menetelty, koska eri tilanteessa hintaindeksi ja neliöhinnat ovat kukin käyttökelpoisia mittareita.
Hintaindeksillä pyritään vastaamaan mahdollisimman hyvin kysymykseen, paljonko enemmän/vähemmän keskiverto vanha osakehuoneisto maksaa nyt kuin aikaisemmin. Keskihinta taas kertoo, mikä on ollut vallitseva hintataso kaupan kohteena olevissa asunnoissa ottamatta kantaa siihen, olivatko ne vanhempia, uudempia, isompia vai pienempiä kuin aikaisemmin myydyt.
4. Tietojen ajantasaisuus ja oikea-aikaisuus
4.1. Tilaston ilmestymistiheys ja mittausjakso
Asuntojen neljännesvuositilasto laaditaan neljännesvuosittain, ja se julkaistaan kuukauden kuluttua ko. neljänneksen päättymisestä.
4.2. Tilaston ennakollisuus
Tilaston ilmestyessä siinä on mukana tuoreimman tilastoneljänneksen osalta noin 2/3 kaikista kaupoista. Loput tiedoista Tilastokeskus saa myöhemmin sitä mukaa kuin ne kertyvät Verohallituksessa.
Neljännesvuosittaisia tietoja päivitetään takautuvasti kunkin neljännesvuosijulkaisun yhteydessä siten, että lopulliset tiedot vuoden t osalta julkaistaan seuraavan vuoden (t+1) ensimmäisen vuosineljänneksen julkaisussa.
5. Tietojen saatavuus ja läpinäkyvyys/selkeys
Asuntojen neljännesvuositilaston julkaisupäivänä julkaistaan Tilastokeskuksen internetsivuilla tilastoon perustuva tuorein tilasto -tiedote. Kokonaisuudessa julkaisu on tilattavissa paperijulkaisuna ja sähköisenä pdf-julkaisuna. Lisäksi asuntojen hinnoista löytyy tietoa Tilastokeskuksen internetsivuilta ja tietokantapalvelusta.
Keskeiset metatiedot on selvitetty tässä dokumentissa, joka on sisällytetty asuntojen neljännesvuosijulkaisuun. Dokumentti on saatavilla myös Tilastokeskuksen internetsivuilta.
6. Tilastojen vertailukelpoisuus
6.1. Vertailtavuus muihin aineistoihin
Asuntojen hintojen neljännesvuositilaston lisäksi Tilastokeskus julkaisee asuntojen hintojen vuositilastoa. Asuntojen hintojen vuositilastosta löytyvät kunnittain luokitellut keskimääräiset neliöhinnat ja kauppojen lukumäärät kolmelta viimeiseltä vuodelta. Vuositilaston etuna neljännesvuositilastoon verrattuna on siis kuntakohtaisten tietojen saatavuus.
Neljännesvuositilastoa ja vuositilastoa tarkasteltaessa tulee huomioida, että vuositilasto sisältää kaikki toteutuneet kaupat, kun taas neljännesvuositilastosta puuttuvat uusien asuntojen kaupat ja laskennassa käytettävien muuttujien (postinumero, talotyyppi yms.) osalta tuntematonta tietoa sisältävät kaupat. Lisäksi on hyvä pitää mielessä, että vuositilastossa ilmoitettavat keskihinnat ovat aritmeettisia keskihintoja ja niistä lasketut muutosprosentit ovat laatuvakioimattomia muutosprosentteja, kun neljännesvuositilastossa keskihinnat ovat geometrisia keskihintoja ja muutosprosenttien laskennassa käytetään laatuvakiointia.
Muiden tiedontuottajien tuloksiin verratessa on hyvä tarkistaa tuloksien perustana oleva tietolähde. Tilastokeskuksen tiedot perustuvat Verohallituksen totaaliaineistoon, ja näin ollen aineisto on täysin kattava tehtyjen kauppojen suhteen.
6.2. Vertailtavuus historiatietoihin
Asuntojen hinnoista on saatavilla nykyisen neljännesvuositilaston mukaisella luokituksella Verohallituksen varainsiirtoveroaineistoon perustuvaa tietoa vuodesta 1987 lähtien.
Tätä vanhempaa tietoa on olemassa vuodesta 1970 lähtien. Vuosien 1970-1986 tiedot perustuvat kiinteistönvälittäjien aineistoihin, ja luokitus on selvästi suppeampi kuin vuodesta 1987 alkavissa tiedoissa.
7. Selkeys ja eheys/yhtenäisyys
Tilastokeskus julkaisee asuntojen hinnoista neljännesvuositilastoa sekä vuositilastoa. Tilastokeskuksen tilastojen lisäksi asuntojen hinnoista ja asuntojen hintakehityksestä julkaisevat tietoa mm. kiinteistönvälittäjät, luottolaitokset ja pankit. Tilastojen eroista tarkemmin kohdassa 6.1.
Päivitetty 27.4.2005
Suomen virallinen tilasto (SVT):
Osakeasuntojen hinnat [verkkojulkaisu].
ISSN=2323-878X. 1. vuosineljännes 2004,
Laatuseloste: asuntojen hinnat, neljännesvuositilasto
. Helsinki: Tilastokeskus [viitattu: 22.2.2026].
Saantitapa: https://stat.fi/til/ashi/2004/01/ashi_2004_01_2005-04-27_laa_001.html
