Tämä tilasto on lakkautettu.
Tilastosta ei enää tuoteta uusia tietoja.
Valtion tuottavuustilaston laatuseloste 2006
- 1. Tilastotietojen relevanssi
- 2. Tilastotutkimuksen menetelmäkuvaus
- 3. Tietojen oikeellisuus ja tarkkuus
- 4. Julkaistujen tietojen ajantasaisuus ja oikea-aikaisuus
- 5. Tietojen saatavuus ja läpinäkyvyys/selkeys
- 6. Tilastojen vertailukelpoisuus
- 7. Selkeys ja eheys/yhtenäisyys
1. Tilastotietojen relevanssi
Tilasto kuvaa valtion tilivirastojen ja laitosten kokonaistuottavuuden ja työn tuottavuuden kehitystä. Tilaston yksiköt sisältyvät Sektoriluokitus 2000 mukaiseen luokkaan S1311 Valtionhallinto. Tilasto ei sisällä valtion liikelaitoksia, valtion omistamia yrityksiä tai valtionapujärjestöjä.
Tilasto sisältää tietoja valtion virastojen ja laitosten kokonaistuottavuuden ja työn tuottavuuden muutoksesta sekä tuotoksen, työpanoksen ja kustannusten muutoksesta vuodesta 1995 lähtien. Tiedot julkaistaan kokonaistasolla ja hallinnonalatasolla niiltä osin kun kattavaa tieto on saatavilla.
Tilastossa yksiköiden mitattava toiminta ja kulut sisältävät budjettirahoituksen ohella muutkin rahoituslähteet.
2. Tilastotutkimuksen menetelmäkuvaus
Tiedot tuotoksista ja panoksista kerätään valtion virastoilta ja laitoksista Internet tiedustelulla osoitteessa https://cinereus.stat.fi/vatu/ . Otoksen perusjoukkona ovat kaikki valtion virastot ja laitokset, joille kaikille lähetetään vastauspyyntö. Kunkin vuoden tiedot on laadittu niiden yksiköiden tiedoista, joista on saatavilla peräkkäisiltä vuosilta käyttökelpoiset ja vertailukelpoiset tiedot.
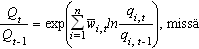
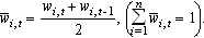
Tuotos- ja panosindikaattoreista muodostettava Divisia-Törnqvist indeksi tuotokselle ja panokselle on:


n = tuotosten (panosten) lukumäärä



Tuottavuuden muutos saadaan jakamalla tuotosindeksin muutos panosindeksin muutoksella. Tilastossa lasketaan työn tuottavuuden muutos, jossa tuotosindeksi jaetaan työpanosindeksillä ja kokonaistuottavuuden muutos, jossa tuotosindeksi jaetaan kokonaispanosindeksillä.
Kokonaispanoksen osatekijöitä ovat kulutetut aineet tarvikkeet, tavarat, työpanos, vuokrat, palvelut, muut kulut, sisäiset kulut, valmistevarastojen muutos ja valmistus omaan käyttöön sekä pääoman korvausta edustavat poistot.
Tiedot tuotos, työpanos ja kokonaispanos indekseistä lasketaan jokaiselle kyselyyn vastanneelle yksikölle ja summataan hallinnonala sekä koko valtiotasoille käyttämällä tuotos- ja kokonaispanosindeksille painoina kokonaiskuluja. Työpanokselle painoina käytetään henkilöstökuluja. Vuoteen 2004 saakka käytettiin painoina pelkästään henkilöstökuluja.
3. Tietojen oikeellisuus ja tarkkuus
Tilaston tiedot tuotoksista ja niiden muutoksista perustuvat virastojen ja laitosten itse määrittelemiin suoritteisiin. Tilastokeskuksessa tilaston laatija arvioi yksikön ilmoittamien tietojen käyttökelpoisuutta vastaustietojen, yksiköiden tulosraporttien, muiden tilastojen ja tarvittaessa lisäkyselyiden perusteella.
Tilaston kattavuus on noussut vuosittain vuoden 1995 alle 40 prosentista yli 70 prosenttiin palkansaajakorvauksilla mitaten.
4. Julkaistujen tietojen ajantasaisuus ja oikea-aikaisuus
Tilasto julkistetaan kerran vuodessa kesäkuussa koskien edellisen kalenterivuoden tietoja. Tiedot ovat lopullisia.
5. Tietojen saatavuus ja läpinäkyvyys/selkeys
Tiedot työn ja kokonaistuottavuuden muutoksista julkaistaan vuosittain kesäkuussa koko valtion ja hallinnonalan tasoilla Tilastokeskuksen internetsivuilla. Lisäksi tiedot raportoidaan Tuottavuuskatsaus -julkaisussa.
6. Tilastojen vertailukelpoisuus
Tuottavuuden muutostietoja on tuotettu vuodesta 1995 lähtien. Tilaston kattavuus on noussut vuosittain, minkä vuoksi tilasto ei koostu samoista yksiköistä aikasarjassa.
Vuoden 1995-2004 kehitys ei ole täysin vertailukelpoinen vuoden 2005 kehityksen kanssa. Vertailukelpoisuuden muutos aiheutuu painotustavan muutoksesta tilastoinnin kehittämisen yhteydessä. Painotusmenetelmän muutoksen aiheuttama vaikutus tuottavuuden muutosprosenttiin on muutamia prosenttiyksikön kymmenyksiä.
Tilastoon tehdään aikasarjakorjaus kattavuuden ja painotuksen osalta vuoden 2008 jälkeen.
7. Selkeys ja eheys/yhtenäisyys
Tuottavuustilastot ja -tutkimukset laaditaan usein eri menetelmillä. Yrityssektorin tuottavuuskehitystä kuvaavissa tilastoissa ja kansantalouden tilinpidosta johdetuissa tuottavuustilastoissa kokonaistuottavuuden ja työn tuottavuuden muutos lasketaan valtion tuottavuustilastoinnista poikkeavilla menetelmillä.
Kuntien ja kuntayhtymien tuottavuustilastossa ja yrityssektorin tuottavuuslaskelmissa hyödynnetään kansantalouden tilinpidon tietoja tuotoksen ja panoskäytön volyymin kehityksestä. Eri tuottavuustutkimuksissa saatetaan käyttää toisistaan poikkeavia tuotos- ja panosmäärittelyjä laskelmien laadinnassa.
Lähde: Valtion tuottavuustilasto 2006. Tilastokeskus
Lisätietoja: Jani Heikkinen (09) 1734 3339, Susanna Laine (09) 1734 3317, julkinen.tuottavuustilasto@tilastokeskus.fi
Vastaava tilastojohtaja: Ari Tyrkkö
Päivitetty 21.6.2007
Suomen virallinen tilasto (SVT):
Valtion tuottavuustilasto [verkkojulkaisu].
ISSN=1797-0423. 2006,
Valtion tuottavuustilaston laatuseloste 2006
. Helsinki: Tilastokeskus [viitattu: 22.2.2026].
Saantitapa: https://stat.fi/til/vatt/2006/vatt_2006_2007-06-21_laa_001_fi.html
